Quaderns de Psicologia | 2022, Vol. 24, Nro. 1, e1739 | ISNN: 0211-3481 | 
https://doi.org/10.5565/rev/qpsicologia.1739

The articulation of racism and homophobia in the values of the European population
Leon Freude
Núria Vergés Bosch
Universitat de Barcelona
Resumen
Racismo y homofobia representan dos grandes desafíos para las sociedades contemporáneas. El síndrome de enemistad grupal (SEG) y el homonacionalismo representan dos conceptos, aparentemente opuestos, para la comprensión de la relación entre racismo y homofobia. En este artículo analizamos esta relación en los valores de la población de Austria, Francia, España y Holanda, a partir de los datos de la European Values Study 2017. Empleamos el método de la tipología estructural y articulada, con análisis de correspondencias y un análisis de clasificación. Nuestros resultados confirman parcialmente la adecuación, tanto del SEG como del homonacionalismo, para explicar la relación entre el racismo y la homofobia. Por un lado, el racismo resultó más elevado que la homofobia en todos los grupos. Por el otro, obtuvimos un grupo moderadamente racista y poco homófobo, otro racista y homófobo y sólo en un grupo muy minoritario se visualizaron tendencias hacia una sociedad genuinamente inclusiva.
Palabras clave: Racismo; Homofobia; Homonacionalismo; Group-Focused Enmity
Abstract
Social research has identified racism and homophobia as two of the great challenges for contemporary societies. The syndrome of group focused enmity (SGE) and homonationalism represent two apparently opposite concepts in understanding the relationship between racism and homophobia. In this article we analyse this relationship considering the values of the population of Austria, France, Spain, and the Netherlands, based on data from the European Values Study 2017. We use the method of structural and articulated typology, with analysis of correspondences and classification analysis. Our results lead us to partially confirm the adequacy of both SEG and homonationalism to explain the relationship between racism and homophobia. On the one hand, racism was higher than homophobia in all groups. On the other hand, we obtained a moderately racist and slightly homophobic group, another racist and homophobic group and only in a very minority group tendencies towards a genuinely inclusive society were visualized.
Keywords: Racism; Homophobia; Homonationalism; Group-Focused Enmity
Las ciencias sociales, los movimientos sociales y la sociedad en general muestran un renovado interés por el desarrollo de sociedades inclusivas, abiertas, igualitarias y diversas (Burawoy, 2005). En los debates subyacentes se presta especial atención a la diversidad sexual y de género, así como a la diversidad étnica o racial. De hecho, en las dos últimas décadas en Europa hemos asistido a grandes avances legales, así como inclusiones reales y efectivas, respecto la igualdad y la diversidad sexual y de género y contra la homofobia, bi y transfobia (Takács y Szalma, 2020; Waites, 2020). Aunque resulte paradójico, respecto al racismo y antirracismo, la legislación contra la discriminación ya estaba muy extendida y un antirracismo básico parecía estar muy extendido en la población. Sin embargo, se han mantenido legislaciones migratorias que mantienen la exclusión e, incluso, estamos delante el auge de discursos de una nueva derecha racista (Bizumic y Duckitt, 2012; Cea D’Ancona, 2015; Chávez y Vergés, 2019; Hekma, 2016; Rodríguez Maeso, 2018; Ramalho, 2020; Seikkula, 2019; Spierings, 2020; Turnbull-Dugarte et al., 2020). En el ámbito académico, investigadores feministas postmodernos y anti-/deo postcoloniales recientemente consiguieron posicionar sus temáticas como claves para promover sociedades plurales e iguales y denunciar no sólo la desigualdad y discriminación, sino aquello que lo enmarca (Bhambra, 2010, 2014; Puar, 2007; Seikkula 2019; Waites, 2020). En este contexto, y especialmente en las ciencias sociales, se nos abre un importante campo de investigación sobre el apoyo a la diversidad que se da en la población, así como para entender el prejuicio, la exclusión y discriminación y orientar políticas públicas para contrarrestarlo.
En este artículo nos centramos en el análisis de la relación entre racismo y homofobia en cuatro países de la Europa Occidental: Austria, España, Francia y Holanda. El análisis lo desarrollamos a partir de los dos principales conceptos que plantean la relación entre racismo y homofobia, aunque de forma opuesta. Por un lado, el síndrome de enemistad grupal (SEG) describe la interconexión de prejuicios negativos hacia grupos concretos identificados como los otros, anormales o diferentes, a los cuales se asignan estatus inferiores. Estos prejuicios toman formas de racismo, xenofobia, antisemitismo, islamofobia, sexismo, homofobia, capacitismo, antisinhogarismo u otros similares, y tienen como denominador común una ideología de la desigualdad (Beierlein et al., 2016; Heitmeyer, 2010a, 2010b; Zick et al, 2008). Por el otro, en cambio, el homonacionalismo describiría la situación en que puede darse el racismo de forma opuesta a la homofobia, es decir, que la tolerancia o posición pro-derechos LGTBIQ* puede incluso utilizarse como justificación del racismo, xenofobia o islamofobia (Puar, 2007; 2013).
En las páginas siguientes repasamos, a nivel teórico y de investigación, qué aportan las diferentes aproximaciones conceptuales en cuanto a la articulación de racismo y homofobia. A partir de los datos de la encuesta europea de valores (EVS, 2020) —y a través del método de la tipología estructural y articulada, que cuenta de un análisis de correspondencias y un análisis de clasificación de 9 variables— buscamos responder a la pregunta de cómo se relacionan racismo y homofobia en los valores de la población en una selección de países de la Europa occidental.
El trabajo que se presenta resulta innovador en tanto que relaciona dos marcos teóricos que, debido a su pertenencia a diferentes escuelas, apenas se conectan y, a priori, podrían plantearse como opuestos. A su vez, contribuye al debate y desarrollo de ambas teorías y conceptualizaciones con aportaciones empíricas sobre los valores de la población de 4 países de la Europa occidental, especialmente en torno a la relación entre racismo y homofobia. Además, supone una nueva aportación, con datos actualizados, a los pocos estudios que trabajan el homonacionalismo con análisis cuantitativos. Finalmente, los resultados de esta investigación contribuyen a los debates actuales, tanto académicos como sociales y políticos, en torno al auge de la extrema derecha y su relación con el racismo y la homofobia.
El síndrome de enemistad grupal (SEG), en inglés Group-Focused Enmity (GFE), fue un concepto desarrollado por un grupo de investigadores de la Universidad de Bielefeld, Alemania, para dar una explicación conjunta a diferentes formas de prejuicio, incluyendo anti-semitismo, xenofobia, islamofobia, capacitismo, sexismo, racismo u homofobia (Heitmeyer, 2010a). El SEG sostiene que detrás del racismo y la homofobia están los mismos elementos, y por eso se pueden explicar por un factor principal que a su vez se explica por una ideología de la desigualdad (Beierlein et al., 2016; Heitmeyer, 2010a, 2010b; Zick et al 2008).
También, el SEG tiene un importante predecesor en los trabajos de Gordon Allport que afirmaba, a partir del análisis de la interrelación entre prejuicios, que la antipatía y la discriminación hacia un grupo externo estaba positivamente relacionada con antipatías y discriminaciones hacía otros grupos externos (1954). A través del SEG se intentó complejizar el trabajo de Allport buscando explicaciones a esos prejuicios en la falta de valores universales, el conservadurismo, la amenaza percibida, la desigualdad, la dominancia social y otros factores (Zick et al. 2009). El SEG puede ser trazado hasta la Teoría Crítica (Schwandt, 2010). Ello ya apuntó a una medición cuantitativa del prejuicio, tanto por su explicación a partir del autoritarismo como por su defensa de la igualdad y, finalmente, por su aspiración de constituir una teoría social de amplio alcance (Beierlein et al., 2016; Schwandt, 2010; Zick et al. 2008; 2009). En un nivel más normativo, la investigación sobre SEG se plantea las sociedades abiertas, inclusivas y diversas como objetivo, recuperando así el inacabado proyecto de la modernidad (Habermas, 2018). Cabe decir que el SEG no se quedó en el ámbito académico, sino que lo trascendió para devenir un concepto clave en las discusiones sobre cómo frenar el avance de la extrema derecha, así como indagar en estrategias para construir una sociedad abierta y diversa.
Más recientemente, Jasbir Puar propuso el término homonacionalismo para dar nombre a articulaciones entre sexualidad y etnia o raza (2007, 2013). Puar argumentó que, a partir del 2001, la llamada “Guerra contra el Terror” yuxtapuso la relación entre homofobia y racismo en las sociedades occidentales. Es decir, la tolerancia con gais y lesbianas devino un argumento clave para una nueva islamofobia y racismo (Puar, 2007, 2013; Bracke, 2012).
El homonacionalismo va mucho más allá del prejuicio, abarcando las múltiples de facetas de la interacción productiva entre sexualidad (u orientación sexual) y etnia (o raza) entendida en su sentido más amplio. El término homonacionalismo ayudó a visibilizar un racismo sutil, aunque también alimentó debates viciosos que incluso dividieron movimientos sociales (Sadurní Balcells y Pujol Tarrés, 2015; Yilmaz-Günay y Wolter 2013; Zanghellini, 2012). Así, el homonacionalismo cuestionó incluso la modernidad, sus categorías, derechos (humanos) y el Estado (Puar, 2007, 2013; Waites, 2020; Zanghellini, 2012). Sin embargo, una medición cuantitativa del fenómeno resulta aún minoritaria en la investigación sobre homonacionalismo (Freude y Vergés, 2020; Spierings, 2020) donde dominan enfoques cualitativos, muchas veces exploratorios. Esto no sorprende teniendo en cuenta que el homonacionalismo emerge de un campo teórico donde se entretejen post-estructuralismo, post-colonialismo y post-feminismo, conjugando interseccionalidad (Crenshaw, 1989) en términos de raza/étnia y sexualidad. La activista e investigadora feminista y anti-racista Kimberlé Crenshaw lanzó el término interseccionalidad refiriéndose a la coincidencia de múltiples opresiones o discriminaciones y la imposibilidad de desagregarlas siendo, pues, co-constitutivas (Crenshaw, 1989; Rodó-Zarate, 2022). En este sentido, Puar afirma que en el discurso hegemónico y la imagen colectiva el otro sexual aparece como blanco, mientras que el otro racial aparece como heterosexual e incluso homófobo (Puar, 2007). La compleja propuesta conceptual de Puar tiene muchas lecturas, aunque ciertamente desencadena una producción de investigación importante. La literatura pues, evidencia un nuevo racismo contra inmigrantes, musulmanes y personas racializadas —otros raciales— en base a su su puesta homofobia (Dhoest, 2020). En este contexto, también aparecen los valores homonacionalistas (Freude y Vergés, 2020; Freude y Waites, 2022). Derivan la presencia de valores en los estudios sobre homonacionalismo como, por ejemplo, los asian values en relación al homonacionalismo (Lazar, 2017; Lee, 2016; Treat, 2015), en relación a pentecostalismo y homonacionalismo en Zambia (van Klinken, 2014) y la Unión Europea y los valores amigables con las personas LGTB+ (Eigenmann, 2021). Siempre aparece implícita o explícitamente la pregunta de hasta qué punto los valores que se imponen y reclaman discursivamente como colectivos, realmente corresponden a valores compartidos por la población. El marco de los estudios de valores ofrece un vínculo fértil para entrelazar la propuesta estructural del homonacionalismo con un nivel más micro e individual, ya que en los estudios de valores se encuentra lo compartido y colectivo con el nivel micro. De todas maneras, también hay que advertir que esta lectura de homonacionalismo se aleja de la propuesta inicial de Puar (2013).
Ambos conceptos, el SEG y el homonacionalismo, tienen que ver con el prejuicio, aunque el homonacionalismo va mucho más allá de él y para el SEG el prejuicio es central. Además, el SEG toma en cuenta la multidimensionalidad de las ideologías de desigualdad, mientras que homonacionalismo se centra en la homofobia y el racismo. Pese a ello, si el homonacionalismo es un campo muy abierto que ofrece pocas definiciones claras, siendo más una herramienta analítica que un fenómeno claramente circunscrito (Schotten, 2016; Zanghellini, 2012), tanto los valores homonacionalistas (Freude y Vergés, 2020) como el voto homonacionalista (Spierings, 2020) sí nos ofrecen una operacionalización manejable y claramente opuesta al SEG. Ambos trabajos definen homonacionalismo como la coincidencia de valores o posturas altamente racistas con valores o posturas altamente tolerantes con gais y lesbianas (Freude y Vergés, 2020; Spierings, 2020). El reto que se aborda en el análisis siguiente consiste, justamente, en ofrecer un procedimiento alternativo para entender cómo se relacionan diferentes variables que expresan racismo con diferentes variables que miden la homofobia y cómo esto nos ayuda a entender la relación entre el SEG i el homonacionalismo en los valores poblacionales. Tanto el SEG como los valores homonacionalistas son propuestas que representan un puente para conectar visiones más estructurales con visiones más individuales, partiendo el SEG desde lo individual y los valores homonacionalistas desde lo estructural.
En este trabajo buscamos avanzar en la medición y análisis de la articulación entre racismo y homofobia en los valores de la población. El análisis lo llevamos a cabo para poder cuantificar el fenómeno, discutiéndolo bajo la luz de los datos y teniendo en cuenta dos propuestas teóricas, el SEG y el homonacionalismo. Respecto al homonacionalismo, nuestro objetivo responde a la necesidad de complementar la ya rica investigación cualitativa que explora el homonacionalismo en torno a los discursos y cómo estos afectan a los sujetos (Lazar, 2020; Zahed, 2019) con una mirada más global y cuantitativa en toda la población. Aunque aquí ya se han hecho unos primeros trabajos (Freude y Vergés, 2020; Spierings, 2020), proponemos complejizar el método. Respecto al abordaje del SEG, este trabajo implica una doble aportación. Por un lado, relaciona la teoría con una propuesta alternativa y opuesta. Por el otro, la lleva más allá de su origen, que es Alemania. Debido al carácter iniciático del trabajo no formulamos una hipótesis, sino una pregunta central de investigación: ¿cómo se relacionan racismo y homofobia en los valores de la población de una selección de países de la Europa occidental?
Los datos que utilizamos para este análisis provienen de la European Values Study del 2017. La encuesta transnacional se hace desde los años ochenta y cubre más que cuarenta países europeos. El cuestionario recoge un amplio abanico de temas y nos permite basar nuestro análisis en diversas variables que miden homofobia y racismo (EVS, 2020). La validez de los datos los pone de relieve el acompañamiento de todo el proceso por un amplio equipo científico internacional (EVS, 2020).
Seleccionamos 4 países de la Europa occidental para profundizar en el análisis (ver tabla 1): Austria, Francia, España y Holanda. En todos estos países ha habido investigación sobre homonacionalismo que apunta a la existencia de discursos y valores homonacionalistas (Fernández García, 2018; López Clavel, 2015; Sadurní Balcells y Pujol Tarrés, 2015) y en un primer estudio sobre valores homonacionalistas marcan un porcentaje entre tres y cinco por ciento (Freude y Vergés, 2020). A su vez, actualmente cuentan con representación parlamentaria de la extrema derecha. Holanda fue el país que se puede considerar el epicentro del homonacionalismo, es decir, donde primero se gestó un discurso homonacionalista en la extrema derecha (Bacchetta y Haritaworn, 2011; Bracke, 2012; Hekma, 2016; Jivraj y de Jong, 2011; Mepschen, 2016; Ramalho, 2020; Spierings, 2020). Con Francia y Austria tenemos países con una fuerte extrema derecha establecida en sus parlamentos, aunque no necesariamente tan claramente homonacionalista (Ramalho, 2020). En cambio, en España el fuerte ascenso y la entrada parlamentaria de la extrema derecha es posterior la recogida de datos de nuestra muestra (Turnbull-Dugarte et al., 2020). En este sentido, estamos delante de países que a nivel teórico y empírico denotan presencia de homonacionalismo, pero varían en cuanto sus tradiciones políticas y en el momento del análisis también en la presencia de la extrema derecha en sus parlamentos.
País |
Año de la recogida de datos |
N |
Austria |
2018/01-05 |
1644 |
Francia |
2018/03-08 |
1870 |
España |
2017/11-2018/01 |
1211 |
Países Bajos |
2017/08-2018/2 |
2721 |
Tabla 1. Datos de las muestras
Fuente: Elaboración propia a partir de EVS (2020). Excel.
Para comprobar cómo se articulan homofobia y racismo en la población nos basamos en tres preguntas que nos sirvieron como indicadores de homofobia y seis preguntas como indicadores de racismo. En el caso de la homofobia recogimos una dimensión muy cotidiana y afectiva —la no preferencia de vecinos homosexuales— y dos que están más ligadas a criterios morales. Por un lado, una dimensión muy abstracta sobre la justificabilidad de la homosexualidad y, por el otro, una dimensión más orientada a la posición delante de las políticas públicas de reproducción, sobre la p/maternidad. Todos estos indicadores fueron evaluados como válidos por Judit Takács e Ivett Szalma (2013). Cabe decir que el término homofobia no tiene pleno consenso (Adam, 1998). En este caso nos referimos a él como la enemistad explícita o implícita hacia las personas homosexuales que puede tener múltiples explicaciones, principalmente estructurales. Así mismo hay que advertir que el concepto homosexual(idad) es problemático (Browne y Nash, 2010; Fraïssé y Barrientos, 2016; Solana, 2017), pero nos sirve de aproximador válido para gais y lesbianas (Takács y Szalma, 2013). En el mismo sentido se puede advertir que el denominador más común hoy en día LGTB+fobia —usado por más inclusivo y dando visibilidad explícita también a la lesbofobia, bifobia y transfobia (Alday y Lisboa, 2021; Biglia y Cagliero, 2019; de Oliveira y Pinheiro Barbosa, 2021)— no se adapta a nuestras variables, por lo cual recurrimos el término homofobia.
Para el racismo, contamos con seis variables que recogían dimensiones más cotidianas (vecindario), como argumentos más razonados, además de las preguntas sobre la competencia por las ayudas públicas o puestos de trabajo con los que se suele justificar buena parte del racismo contemporáneo (Geulen, 2007; Lajevardi y Oskooii, 2018; Seikkula, 2019). También recogemos la dimensión de la islamofobia, siendo una pieza importante para entender el homonacionalismo. Cabe decir que estos indicadores se usan frecuentemente para medir racismo (Beierlein et al., 2016; Cea D’Ancona, 2009; 2015; Heitmeyer 2010a, 2010b; Schwandt, 2010; Zick et al. 2008, 2009). En la tabla 2, se presenta la formulación exacta de las preguntas, las categorías de respuesta, y si se consideró oportuno, su propuesta de recodificación.
|
Variable |
|
Escala Original |
Recodificada |
Homofobia |
V26 |
En la siguiente lista aparecen varios grupos de personas. ¿Podría identificar a alguno al que no le gustaría tener como vecino? – Homosexuales |
1-2 |
|
V82 |
Las parejas homosexuales son tan buenos padres como otras parejas |
1-5 |
|
|
V153 |
Dígame, por favor, para cada una de las siguientes cosas, si piensa que siempre se puede justificar, si no puede ser justificada nunca o que está entre un extremo y otro, utilizando esta tarjeta. – Homosexualidad |
1-10 |
1-5 |
|
Racismo |
V24 |
En la siguiente lista aparecen varios grupos de personas. ¿Podría identificar a alguno al que no le gustaría tener como vecino? – Inmigrantes/trabajadores |
1-2 |
|
V28 |
En la siguiente lista aparecen varios grupos de personas. ¿Podría identificar a alguno al que no le gustaría tener como vecino? – Musulmanes |
1-2 |
|
|
V186 |
Los inmigrantes (no) empeoran los problemas de delincuencia |
1-10 |
1-5 |
|
V80 |
Cuando los puestos de trabajo escasean, los patronos deberían admitir antes a los [nacionales, p. e. españoles] que a los inmigrantes extranjeros |
1-5 |
|
|
V185 |
Los inmigrantes (no) quitan los trabajos a los [nacionales, p.e. españoles] |
1-10 |
1-5 |
|
V187 |
Grado de acuerdo: Los inmigrantes (no) suponen una dificultad para el sistema de bienestar de un país |
1-10 |
1-5 |
Tabla 2. Preguntas y medida
Fuente: Elaboración propia a partir de EVS (2020). Excel.
Para entender cómo se estructuraban o articulaban los valores homófobos y racistas seguimos la propuesta de tipologías estructurales y articuladas propuesta por Pedro López Roldán (1996). La propuesta de tipologías estructurales y articuladas vincula dos técnicas estadísticas exploratorias, a saber, el análisis factorial y el análisis de clasificación. El análisis factorial busca estructurar un conjunto de datos resumiéndolo en un número reducido de dimensiones, factores o ejes (López-Roldan y Fachelli, 2015). El análisis de clasificación crea grupos homogéneos de dentro y heterogéneos entre sí (López-Roldan y Fachelli, 2015). Siguiendo la propuesta de tipologías estructurales y articuladas, se planteó un análisis factorial exploratorio para determinar qué ejes estructuraban las diferentes respuestas. A partir de este análisis factorial, y siguiendo la propuesta de tipologías articuladas y estructuradas (López Roldán, 1996), se incorporó una segunda técnica, el análisis de clasificación o clúster para crear grupos de individuos homogéneos dentro y, además, diferentes entre ellos.
Para el análisis factorial recurrimos a la técnica del análisis de correspondencias múltiples (ACM), ya que nuestras variables eran cualitativas u ordinales, pero en ningún caso racionales. Desde que el ACM fue desarrollado por la Escuela Francesa de Análisis de Datos, haciéndose especialmente famoso por el uso que le dio Bourdieu en “La Distinción” ha sido ampliamente utilizado en las ciencias sociales (Alcaide Lozano et al., 2020; Fachelli, 2013). El ACM busca correspondencias entre diferentes variables cualitativas (Fachelli, 2013), proyectándolas en un nuevo espacio multidimensional estructurado por ejes. De este modo, satisfacía nuestro objetivo de buscar la estructuración o articulación entre racismo y homofobia.
A nivel técnico recodificamos las variables de análisis que cumplían con los requisitos de análisis. Primero, que el valor esperado estuviera por encima de 5 en el 80 % de las casillas, y, segundo, que las categorías de respuesta de cada variable no estuvieran por debajo del 5 % (López Roldán y Fachelli, 2015). Como número máximo de dimensiones, indicamos la resta entre el número de categorías y el número de variables, m-p = dmax, en nuestro caso, 36-9 = 27 (López Roldán y Fachelli, 2015). Como método de normalización consideramos la normalización simétrica (López Roldán y Fachelli, 2015).
Siguiendo la propuesta de López Roldán (1996), trabajamos en un segundo paso con los ejes extraídos del análisis factorial y las puntuaciones que tenían los diferentes individuos en ellos. Siendo los ejes variables cuantitativas ideales, y teniendo en cuenta las condiciones para el análisis de clasificación, podíamos aplicar un Análisis de Clasificación (ACL) para determinar grupos de individuos muy homogéneos dentro de los grupos y máximamente heterogéneos entre los grupos (López Roldán, 1996; López Roldán y Fachelli, 2015). Como método de agrupación utilizamos el método de Ward y como medida de la distancia la distancia euclídea al cuadrado (López Roldán y Fachelli, 2015).
Lo que más limitó este análisis fue el trabajo con datos secundarios y categorías que no se adaptaban especialmente al homonacionalismo. En este sentido, nuestra medición de valores homonacionalistas supuso una aportación importante —ya que se basaba en nueve indicadores—, pero sigue implicando una simplificación del concepto multifacético del homonacionalismo. Otra limitación la supuso el propio análisis de clasificación, que no consistió en un análisis estadístico en el sentido más estricto y puede generar variaciones según el método utilizado.
En términos de técnicas, este trabajo implica una verdadera innovación en el campo del homonacionalismo, ya que empleamos un tratamiento multivariante para basarnos en más de una variable para medir homofobia y racismo. En este sentido, seguimos la recomendación de fundamentarnos en varios ítems para aumentar la validez de los resultados (Domínguez Amorós y Simó Solsona, 2003). De hecho, mientras que desde SEG esto es un procedimiento habitual, no pasa lo mismo con el homonacionalismo donde racismo y homofobia suelen ser medidos con una sola variable (Freude y Vergés, 2020; Spierings, 2020). Otro punto fuerte de seguir la propuesta metodológica y técnica de López-Roldán (1996) reside en el hecho de no forzar la teoría —siguiendo a Leon Freude y Núria Vergés (2020), y a Niels Spierings (2020) con una recodificación de los más racistas y los más tolerantes con gais y lesbianas—, sino de hacer emerger una tipología desde los datos empíricos.
En el análisis factorial llegamos a reducir las nueve variables entorno al racismo y la homofobia en dos dimensiones que explicaban —de acuerdo con la corrección Benzécri (López Roldán y Fachelli, 2015)— un 87,21 % de la variancia total (ver tabla 3). El Alfa de Cronbach resultó superior a 0,6 por lo cual se generó suficiente fiabilidad (López Roldán y Fachelli, 2015) para los dos ejes.
Factor |
Valor propio |
% Inercia |
Valor propio corregido (*) |
% Inercia (1) |
% Acumulado |
Alfa de Cronbach |
1 |
0,364000 |
11,50 |
0,080940 |
67,45 |
67,45 |
,782 |
2 |
0,248000 |
7,84 |
0,023716 |
19,76 |
87,21 |
,622 |
3 |
0,175000 |
5,53 |
0,005166 |
4,30 |
91,52 |
,410 |
4 |
0,171000 |
5,40 |
0,004539 |
3,78 |
95,30 |
,395 |
5 |
0,160000 |
5,06 |
0,003025 |
2,52 |
97,82 |
,342 |
6 |
0,141000 |
4,46 |
0,001131 |
0,94 |
98,76 |
,239 |
7 |
0,134000 |
4,24 |
0,000663 |
0,55 |
99,31 |
,194 |
8 |
0,130000 |
4,11 |
0,000452 |
0,38 |
99,69 |
,163 |
9 |
0,126000 |
3,98 |
0,000281 |
0,23 |
99,92 |
,130 |
10 |
0,118000 |
3,73 |
0,000060 |
0,05 |
99,97 |
,061 |
11 |
0,116000 |
3,67 |
0,000030 |
0,03 |
100,00 |
,047 |
12 |
0,112000 |
3,54 |
0,000001 |
0,00 |
100,00 |
,007 |
… |
… |
… |
… |
… |
… |
… |
Tabla 3: Factores e inercia explicada
Fuente: Elaboración propia a partir de EVS (2020). Excel.
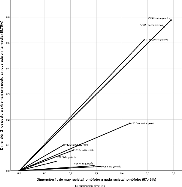
Determinando la estructura del nuevo espacio a partir de dos ejes vimos que las variables que principalmente explicaban esta estructuración (las que tienen la línea más larga, ver figura 1) fueron las variables que medían el racismo.

Figura 1. Medidas discriminantes del modelo bidimensional de 9 variables (racismo y homofobia)
Fuente: Elaboración propia a partir de EVS (2020). SPSS.
En concreto, fueron las escalas que medían el (des-)acuerdo con las afirmaciones siguientes: los inmigrantes (no) empeoran los problemas de delincuencia; los inmigrantes (no) quitan los trabajos a los [nacionales, p. e. españoles]; los inmigrantes (no) suponen una dificultad para el sistema de bienestar de un país. El grado de (des-)acuerdo con la idea de que cuando los puestos de trabajo escasean, los patronos deberían admitir antes a los [nacionales, p. e. españoles] marcó una contribución medianamente alta. No querer musulmanes o inmigrantes como vecinos y el grado de (des-)acuerdo con la frase de que parejas homosexuales son igual de buenos padres que otras parejas, contribuyeron a un nivel medianamente bajo al modelo, mientras que no querer homosexuales como vecinos y el grado de (des-)acuerdo con la justificabilidad de la homosexualidad resultaron variables que aportaron poco.
Fijándonos en el ángulo de las diferentes líneas, pero también de la correlación (Tabla 4), pudimos darles carácter a los diferentes ejes: lo que quedó claro fue que la primera dimensión —que, recordamos, resume un 67,45 % de la inercia— se nutría de la principal información de todas las variables del modelo. El segundo eje se basó principalmente en las variables que medían el (des-)acuerdo con las afirmaciones siguientes: los inmigrantes (no) quitan los trabajos a los [nacionales, p. e. españoles]; los inmigrantes (no) empeoran los problemas de delincuencia y los inmigrantes (no) suponen una dificultad para el sistema de bienestar de un país. Se distinguió del primero, ya que las preferencias por el vecindario no resultaron casi nada relacionadas. Podríamos aventurarnos, por lo tanto, a denominar el primer eje como un barómetro de la aversión general hacia los otros sexuales y raciales, y considerar el segundo eje como un barómetro específico para la aversión razonada.
|
Dimensión |
|
|
1 |
2 |
Justificabilidad homosexualidad |
0,160 |
0,073 |
Los inmigrantes (no) quitan los trabajos a los [nacionales, p. e. españoles] |
0,530 |
0,522 |
Los inmigrantes (no) empeoran los problemas de delincuencia |
0,597 |
0,582 |
Los inmigrantes (no) suponen una dificultad para el sistema de bienestar de un país |
0,561 |
0,553 |
Vecinos: Inmigrantes/Trabajadores extranjeros |
0,314 |
0,019 |
Vecinos: Homosexuales |
0,138 |
0,036 |
Vecinos: Musulmanes |
0,337 |
0,020 |
Cuando los puestos de trabajo escasean, los patronos deberían admitir antes a los [nacionales, p. e. españoles] |
0,472 |
0,289 |
Las parejas homosexuales son tan buenos padres como otras parejas |
0,168 |
0,141 |
Total activo |
3,278 |
2,236 |
Tabla 4. Medidas discriminantes
Fuente: Elaboración propia a partir de EVS (2020). SPSS
Hasta ahora revisamos cuánto peso tenían las diferentes variables en nuestro modelo de dos dimensiones. Observando con qué variables correlacionaban los ejes hicimos un primer ejercicio de dar identidad a los ejes. Sin embargo, faltaba observar cómo se relacionaban las diferentes categorías de respuesta, respondiendo directamente a nuestro objetivo de ver cómo se articulaban racismo y homofobia. Como se puede apreciar en la figura 2, las categorías de respuesta de las diferentes variables se colocaron homólogamente: quien estaba fuertemente en desacuerdo en un ítem también lo estaría en los demás; quien se posicionaba en posturas intermedias también tomaría posturas intermedias en una variable, tendería a hacer lo mismo en otras variables; y lo mismo para aquellos que se mostraran de acuerdo. En nuestro caso esto implicó que quien mostraba actitudes racistas también mostraba actitudes homófobas.

Figura 2. Distribución del conjunto de puntos de las categorías de respuesta
Fuente: Elaboración propia a partir de EVS (2020). SPSS.
Volviendo al carácter de los ejes la figura 1 nos resultó útil en tanto que podíamos reconocer el característico efecto de Guttmann (López Roldán y Fachelli, 2015). El primer eje nos separaba los dos extremos, mientras que el segundo eje oponía las dos posturas extremas a las posturas intermedias. Por lo tanto, el carácter distintivo del segundo eje no fue que sólo recogía posturas razonadas o argumentadas, sino que incorporaba informaciones de aquellas variables que permitían posturas intermedias (y la pregunta por el vecindario no permite tal posicionamiento). Estamos por tanto delante de un primer eje que explicaba un 67,45 % de la inercia graduando de muy racista/homófobo a nada racista/homófobo, y un segundo eje que graduaba las respuestas en cuanto al racismo y la homofobia entre una postura extrema y una postura moderada o intermedia.
Hasta ahora hemos visto cómo se estructuraba o articulaba la relación entre nueve variables que medían racismo y homofobia. Siguiendo la propuesta de la tipología estructural y articulada (López-Roldan, 1996) presentamos los resultados de un análisis de clasificación (ACL). En este análisis agrupamos los individuos a partir de las dos dimensiones descritas arriba para que formaran una tipología generada a partir de los datos con grupos con una homogeneidad interna máxima, así como una máxima heterogeneidad externa. El programa informático nos iba agrupando los diferentes individuos según la distancia entre ellos. Para determinar el momento de mayor homogeneidad interna y mayor heterogeneidad externa nos fijamos en el salto en las diferencias segundas (Tabla 5) y determinamos que la mejor tipología era de tres tipos.
Etapa |
Grupos |
Coeficientes |
Diferencias primeras |
Diferencias segundas |
7436 |
10 |
985,339 |
95,566 |
6,940 |
7437 |
9 |
1080,905 |
101,623 |
6,057 |
7438 |
8 |
1182,528 |
193,638 |
92,015 |
7439 |
7 |
1376,166 |
209,528 |
15,890 |
7440 |
6 |
1585,694 |
258,252 |
48,724 |
7441 |
5 |
1843,946 |
522,999 |
264,747 |
7442 |
4 |
2366,945 |
723,102 |
200,103 |
7443 |
3 |
3090,047 |
2366,857 |
1643,755 |
7444 |
2 |
5456,904 |
3311,715 |
944,858 |
7445 |
1 |
8768,619 |
- |
- |
Tabla 5. Determinación de grupos homogéneos
Fuente: Elaboración propia a partir de EVS (2020). Excel.
De la representación gráfica (figura 3) de esta tipología se puede intuir otra vez el efecto de Guttmann. Entonces, se trató de darle identidad a los tres grupos analizando cómo se diferenciaban en términos de racismo y homofobia.

Fuente: Elaboración propia a partir de EVS (2020). SPSS.
Figura 3. Representación gráfica de la tipología: individuos en las dimensiones
A partir de la Tabla 6 podemos identificar los diferentes grupos. El grupo 1, el azul, era el grupo más grande de la muestra (59,2 % de la muestra). En este grupo a la mayoría de los respondientes no les importaba tener inmigrantes y/o musulmanes como vecinos, pero en cuanto a los ítems que medían el racismo en una escala los respondientes de este grupo se colocaban en las respuestas intermedias, por lo que los podíamos calificar como algo y poco racistas. En cambio, la homofobia resultó ser muy baja en este grupo. En este sentido, guarda coherencia con las propuestas homonacionalistas.
|
1 |
2 |
3 |
Total |
No querer vecinos inmigrantes |
|
|
|
|
1 mencionado |
3,80 % |
39,20 % |
2,40 % |
14,50 % |
2 no mencionado |
96,20 % |
60,80 % |
97,60 % |
85,50 % |
No querer vecinos musulmanes |
|
|
|
|
1 mencionado |
4,50 % |
42,90 % |
2,40 % |
16,00 % |
2 no mencionado |
95,50 % |
57,10 % |
97,60 % |
84,00 % |
Dar prioridad a nacionales en el empleo |
||||
1 muy de acuerdo |
7,60 % |
45,60 % |
1,50 % |
18,80 % |
2 de acuerdo |
24,70 % |
34,00 % |
2,70 % |
25,30 % |
3 ni acuerdo ni desacuerdo |
27,70 % |
10,00 % |
8,40 % |
20,20 % |
4 desacuerdo |
27,60 % |
6,50 % |
29,40 % |
21,20 % |
5 muy desacuerdo |
12,40 % |
4,00 % |
58,00 % |
14,50 % |
Inmigrantes toman el trabajo de autóctonos |
||||
1 muy de acuerdo |
2,50 % |
37,40 % |
0,30 % |
13,20 % |
2 de acuerdo |
14,80 % |
28,20 % |
0,40 % |
17,40 % |
3 ni acuerdo ni desacuerdo |
33,00 % |
19,90 % |
1,40 % |
25,60 % |
4 desacuerdo |
33,40 % |
7,50 % |
5,50 % |
22,40 % |
5 muy desacuerdo |
16,30 % |
7,10 % |
92,50 % |
21,30 % |
Inmigrantes aumentan el crimen |
||||
1 muy de acuerdo |
6,20 % |
65,80 % |
0,70 % |
24,30 % |
2 de acuerdo |
32,50 % |
20,10 % |
1,50 % |
25,40 % |
3 ni acuerdo ni desacuerdo |
33,50 % |
8,20 % |
2,50 % |
22,30 % |
4 desacuerdo |
21,90 % |
2,80 % |
9,30 % |
14,60 % |
5 muy desacuerdo |
6,00 % |
3,20 % |
86,10 % |
13,40 % |
Inmigrantes son una carga para el Estado de Bienestar |
||||
1 muy de acuerdo |
10,10 % |
72,00 % |
1,50 % |
28,70 % |
2 de acuerdo |
32,60 % |
15,60 % |
1,70 % |
24,10 % |
3 ni acuerdo ni desacuerdo |
31,60 % |
6,50 % |
4,30 % |
20,90 % |
4 desacuerdo |
20,50 % |
2,70 % |
13,50 % |
14,10 % |
5 muy desacuerdo |
5,20 % |
3,30 % |
79,10 % |
12,20 % |
Vecinos homosexuales |
|
|
|
|
1 mencionado |
1,50 % |
20,90 % |
4,30 % |
7,70 % |
2 no mencionado |
98,50 % |
79,10 % |
95,70 % |
92,30 % |
Homosexuales son igual de buenos padres como otras parejas |
||||
1 muy de acuerdo |
32,80 % |
19,90 % |
58,20 % |
31,60 % |
2 de acuerdo |
39,20 % |
27,00 % |
23,60 % |
33,90 % |
3 ni acuerdo ni desacuerdo |
17,60 % |
17,80 % |
8,10 % |
16,60 % |
4 desacuerdo |
7,70 % |
20,00 % |
4,10 % |
11,00 % |
5 muy desacuerdo |
2,70 % |
15,40 % |
5,90 % |
6,90 % |
Justificabilidad de la homosexualidad |
||||
Nunca justificable |
5,20 % |
21,50 % |
8,30 % |
10,50 % |
Casi nunca justificable |
4,10 % |
9,40 % |
1,90 % |
5,50 % |
Ni justificable ni injustificable |
14,80 % |
20,60 % |
8,50 % |
16,00 % |
Casi siempre justificable |
15,80 % |
13,50 % |
6,60 % |
14,20 % |
Siempre justificable |
60,20 % |
35,00 % |
74,70 % |
53,80 % |
Factores |
|
|
|
|
Factor 1 |
-0,3213 |
0,9636 |
-1,0472 |
0 |
Factor 2 |
0,3853 |
-0,2726 |
-1,38 |
0 |
Tamaño % |
59,2 |
30,6 |
10,2 |
100 |
Característica |
poco/algo racista |
muy racista |
nada/poco racista |
|
poco homófobo |
Muy homófobo |
Poco homófobo |
|
|
Tabla 6. Identificación de los tres tipos según racismo y homofobia
Fuente: Elaboración propia a partir de EVS (2020). Excel.
El segundo grupo, el rojo, era el segundo más grande (30,6 % de las respuestas) y se caracterizaba por una elevada (aunque no mayoritaria) aversión a tener inmigrantes y musulmanes como vecinos y un fuerte apoyo a posturas racistas. En las escalas que medían racismo la postura más racista siempre era la más fuerte. De todos los grupos, el grupo rojo resultó ser el más homófobo, aunque la distribución de respuestas en las variables que medían homofobia eran más diferentes que en el caso del racismo. Un 20,9 % no quería homosexuales como vecinos (mientras que eran un 42,9 % y un 39,2 % para musulmanes e inmigrantes respectivamente), siendo el porcentaje para toda la muestra significativamente menor (7,7 %). En las dos escalas que medían homofobia se daba una distribución casi igualitaria entre las diferentes categorías de respuesta. Con eso podemos decir que este grupo era más homófobo que el resto, pero no tan homófobo como racista, y contaba con respuestas no homófobas también. En cierto modo guardaría una mayor coherencia con el SEG y algo menos con el homonacionalismo.
Finalmente, el último grupo, el verde, era el más minoritario (10,2 %) y reagrupaba las respuestas muy poco racistas y las menos homófobas. En concreto es allí donde el porcentaje de no querer vecinos inmigrantes o musulmanes era más bajo (2,4 % para los dos) y donde había un desacuerdo más claro con afirmaciones racistas. En el caso de la homofobia estábamos delante de dos tendencias ligeramente distintas. Por un lado, en el caso de los vecinos homosexuales, se denotaba un rechazo por debajo de la media, pero no se trataba del grupo más inclusivo (en el grupo 3 un 4,3 % no querían homosexuales como vecinos, mientras que en el grupo 1 sólo un 1,5 %). En cambio, las respuestas a las variables ordinales se dieron más en los extremos menos homófobos, diferenciando este grupo claramente de los demás grupos. En este sentido, aunque a la inversa por ser el menos discriminatorio, guardaría coherencia con los postulados del SEG.
Partimos de la premisa que las ciencias sociales, los movimientos sociales y la sociedad en general muestran un interés creciente en crear sociedades inclusivas, abiertas y diversas (Burawoy, 2005). Los conceptos discutidos ofrecen, junto con los datos analizados, una base para orientar el debate académico, las políticas públicas y la acción colectiva.
En este trabajo ejecutamos los análisis con el objetivo de entender la relación entre racismo y homofobia, en cuatro países de Europa occidental, Austria, España, Francia, y Holanda, a partir de los conceptos del síndrome de enemistad grupal (SEG) (Beierlein et al., 2016; Heitmeyer, 2010a, 2010b; Zick et al, 2008) y del homonacionalismo (Puar, 2007; 2013). Buscamos avanzar en la medición de la articulación entre racismo y homofobia en los valores de la población para, con ello, poder cuantificar el fenómeno y, bajo la luz de los datos, discutirlo teniendo en cuenta ambas propuestas teóricas, el SEG y el homonacionalismo. Para el ámbito académico y la discusión en torno al SEG y el homonacionalismo cabe subrayar el valor añadido que tiene relacionar conceptos de escuelas muy diferentes en el análisis de datos. Como vimos, las dos herramientas conceptuales nos ayudan a entender la realidad, y juntándolos, podemos entrever sus puntos fuertes y sus puntos débiles para entender la relación entre el racismo y la homofobia.
De entrada, podemos confirmar para nuestro análisis lo que reclama el SEG. Encontramos una primera dimensión (que oponía los extremos entre valores igualitarios vs valores de la desigualdad) que mostró una elevada inercia que resumía el grado de posturas de enemistad hacía otros. Es más, atendiendo al Efecto Guttmann también la segunda dimensión (que oponía los valores extremos vs. los valores moderados) medía estas posturas de enemistad grupal hacia grupos concretos. Así, también se puede afirmar que homofobia y racismo no actúan en ejes completamente diferentes, ni que sus categorías de respuesta correlacionan de manera invertida. Nuestro análisis muestra, a más homofobia, más racismo, y a menos racismo, menos homofobia, en consonancia con el reclamo del SEG (Beierlein et al., 2016; Heitmeyer, 2010a, 2010b; Zick et al, 2008), así como con los resultados de la comparativa europea de valores homonacionalistas realizada por Freude y Vergés (2020) con anterioridad.
El análisis ACM también nos mostró que las variables que medían racismo tenían más poder estructurador que las variables que medían homofobia. Creemos que pudo ser efecto de nuestro análisis y del hecho que la mayoría de las variables incluidas midieran racismo (6 de 9). Otra posible explicación sería que habría más consenso en torno a la homofobia y las respuestas serían menos dispersas. Teniendo en cuenta los resultados que medían homofobia y racismo, esto confirmaría en parte la tesis del homonacionalismo. Existe un consenso en la tolerancia con gais y lesbianas y, en cambio, dispersión en cuanto al racismo.
En cuanto al grupo homonacionalista, cabe decir que nuestros análisis, que seguían criterios objetivos y empíricos de proximidad (y no teóricos), no permitieron hacer emerger este grupo homonacionalista tal y como lo definieron Freude y Vergés (2020) o Spierings (2020). Sin embargo, esto no significa que debamos descartar por completo la idea de que pueda darse homonacionalismo en valores poblacionales (van Freude y Vergés, 2020; Klinken, 2014; Spierings, 2020).
Discutiendo los resultados en más detalle, destaca que obtuvimos tres grupos que se distinguieron en cuanto a su postura ante los indicadores de racismo y homofobia. Lo que unía los tres grupos era que la homofobia puntuaba siempre por debajo del racismo, desafiando a la propuesta de SEG. Aunque el grupo más racista también resultó ser el más homófobo, la homofobia en este grupo no fue generalizada. En el grupo más racista también encontramos que nuestros indicadores mostraron poca o ninguna homofobia. Es aquí donde se encontraba, muy minoritariamente, el grupo homonacionalista definido teóricamente por Freude y Vergés (2020) o Spierings (2020), aunque quedó invisible por el hecho que la mayoría de las respuestas racistas también resultaron ser homófobas. Sin embargo, nosotros sostenemos que para analizar valores homonacionalistas el grupo más grande puede resultar más interesante, ya que representó una muy baja homofobia y grados intermedios de racismo. Sería allí donde a partir de las posturas intermedias entraría un racismo latente muy presente en los debates sobre homonacionalismo (Puar, 2007, 2013).
En resumen, en la articulación de homofobia y racismo encontramos elementos que confirmaron el SEG y otros más relacionados con el homonacionalismo. Los ejes que estructuraron la relación entre las variables claramente resultaron en la línea del SEG. El peso explicativo de la inercia que tenían las distintas variables, en cambio, daría el argumento al homonacionalismo. Y aunque empíricamente no se evidenció claramente un grupo homonacionalista, el análisis de la homofobia y el racismo en los distintos grupos permitió ver un homonacionalismo en valores.
Nuestro procedimiento metodológico —tipologías estructurales y articuladas— nos permitió ampliar, primero, el abanico metodológico con el que se trabaja el homonacionalismo. Segundo, nos facilitó aportar nuevas evidencias sobre la articulación del racismo y la homofobia que ayudan a redefinir los conceptos. Contrario a la propuesta de los valores homonacionalistas, hay una correlación entre el racismo y la homofobia como se propone con el SEG. Sin embargo, en el sentido del homonacionalismo, el racismo resultó mucho más elevado que la homofobia. Es más, lo que diferenciaba la muestra parecía ser el racismo y no la homofobia.
Finalmente, nuestros resultados llevan a la necesidad de políticas públicas que se dirijan hacía discriminaciones de toda índole y las articulen para revertirlas (Cruells y Coll Planas, 2013). Más allá de políticas contra la homofobia o contra el racismo, hace falta un esfuerzo en conjugarlas. Esto es, promover la tolerancia con minorías étnicas, religiosas o de origen a través de la lucha contra la homofobia y viceversa. En clave de movimientos sociales esto implica no convertirse en movimientos sociales de un solo asunto (single-issue), sino ampliar la propia agenda o buscar alianzas amplias, ahora y en un futuro próximo.
Adam, Barry D. (1998). Theorizing Homophobia. Sexualities, 1(4), 387-404. https://doi.org/10.1177/136346098001004001
Alcaide Lozano, Vanessa; Fachelli, Sandra & López-Roldán, Pedro (2020). The Typological Paragon: A Methodological Proposal of Mixed Designs. BMS Bulletin of Sociological Methodology/ Bulletin de Methodologie Sociologique, 141(1), 64-84. https://doi.org/10.1177/0759106318813293
Alday-Mondaca, Carolina & Lay-Lisboa, Siu (2021). Política, orgullo y rebeldía: Tácticas para disputar derechos. Diversidades sexuales y parentalidad. Quaderns de Psicologia, 23(1), e1671. https://doi.org/10.5565/rev/qpsicologia.1671
Allport, Gordon (1954). The Nature of Prejudice. Perseus Books.
Bacchetta, Paola & Haritaworn, Jin (2011). Transatlantic Conversations: Feminism as Travelling Theory. Routlege.
Beierlein, Constanze; Kuntz, Anabel & Davidov, Eldad (2016). Universalism, conservation and attitudes toward minority groups. Social Science Research, 58, 68-79. https://doi.org/10.1016/j.ssresearch.2016.02.002
Bhambra, Gurminder K. (2010). Sociology after postcolonialism: Provincialized cosmopolitanisms and connected sociologies. In Manuela Boatcă, Sergio Costa & Encarnación Gutiérrez-Rodríguez (Ed.), Decolonizing European Sociology: Transdisciplinary Approaches (pp. 33-47). Ashgate.
Bhambra, Gurminder K. (2014). Postcolonial and decolonial dialogues. Postcolonial Studies, 17(2), 115-121. https://doi.org/10.1080/13688790.2014.966414
Biglia, Barbara & Cagliero, Sara (2019). Abordajes y ‘respuestas’ de las universidades catalanas frente a las violencias LGTBIQ+ fóbicas. Quaderns de psicologia, 21(2), e1532. https://doi.org/10.5565/rev/qpsicologia.1532
Bizumic, Boris & Duckitt, John (2012). What Is and Is Not Ethnocentrism? A Conceptual Analysis and Political Implications. Political Psychology, 33(6), 887-909. https://doi.org/10.1111/j.1467-9221.2012.00907.x
Bracke, Sarah (2012). From “saving women” to “saving gays”: Rescue narratives and their dis/continuities. European Journal of Women’s Studies, 19(2), 237-252. https://doi.org/10.1177/1350506811435032
Browne, Kath & Nash, Catherine J. (2010). Queer Methods and Methodologies: an introduction. In Kath Browne & Catherine J. Nash (Ed.), Queer Methods and Methodologies: Intersecting Queer Theories and Social Science Research (pp. 1-24). Taylor and Francis.
Burawoy, Michael (2005). The critical turn to public sociology. Critical Sociology, 31(3), 313-326. https://doi.org/10.1163/1569163053946291
Cea D’Ancona, M. Ángeles (2009). La compleja detección del racismo y la xenofobia a través de encuesta. Un paso adelante en su medición. Revista Española de Investigaciones Sociológicas, 125(1), 13-45. https://doi.org/10.2307/40184918
Cea D’Ancona, M. Ángeles (2015). Immigration as a threat: Explaining the changing pattern of xenophobia in Spain. Journal of International Migration and Integration, 17(2), 569-591. https://doi.org/10.1007/s12134-015-0415-3
Chávez Molina, Eduardo & Vergés Bosch, Núria (2019). La bolsonarización de España. BORDES, 12, 45-53.
Crenshaw, Kimberlé (1989). Demarginalizing the intersection of race and sex: A black feminist critique of antidiscrimination doctrine, feminist theory and antiracist politics. University of Chicago Legal Forum, 139(1), 139-167.
Cruells, Marta & Coll-Planas, Gerard (2013). Challenging equality policies: The emerging LGBT perspective. European Journal of Women’s Studies, 20(2), 122-137. https://doi.org/10.1177/1350506812460630
Dhoest, Alexander (2020). LGBTs In, Muslims Out: Homonationalist Discourses and Counterdiscourses in the Flemish Press. International Journal of Communication, 14, 155-175.
Domínguez Amorós, Màrius & Simó Solsona, Monteserrat (2003). Tècniques d’investigació social quantitatives. Edicions Universitat de Barcelona.
Eigenmann, Laura (2021). “This Is a Union of Values”: The Rise of the LGBTI Rights Norm as Part of the EU’s Identity Construction. Social Politics: International Studies in Gender, State & Society, 29(1), 95-117. https://doi.org/10.1093/sp/jxab028
EVS (2020). European Values Study 2017: Integrated Dataset (EVS 2017).GESIS Datenarchiv, Köln. ZA7500 Datenfile Version 4.0.0, https://doi.org/10.4232/1.13560
Fachelli, Sandra (2013). ¿La crisis aumenta las diferencias entre estratos sociales? La medición del cambio social en Argentina. Empiria, 25, 13-45. https://doi.org/10.5944/empiria.25.2013.3796
Fernández García, Daniel Ahmed (2018). Queered islamophobia and queer muslim forms of resistance in times of homonationalism. Revista de Estudios Internacionales Mediterraneos, 24, 71-88. https://doi.org/10.15366/reim2018.24.005
Fraïssé, Christèle & Barrientos, Jaime (2016). The concept of homophobia: A psychosocial perspective. Sexologies, 25(4), 65-69. https://doi.org/10.1016/j.sexol.2016.02.002
Freude, Leon & Vergés Bosch, Núria (2020). Homonationalism in Europe? A Quantitative Comparison of the Values of Europeans. Sexuality and Culture, 24(5), 1292-1314. https://doi.org/10.1007/s12119-019-09683-7
Freude, Leon & Waites, Matthew (2022). Analysing homophobia, xenophobia and sexual nationalisms in Africa: Comparing quantitative attitudes data to reveal societal differences. Current Sociology. https://doi.org/10.1177/00113921221078045
Geulen, Christian (2007). Geschichte des Rassismus. CH Beck. https://doi.org/10.17104/9783406623806
Habermas, Jürgen (2018). Die Moderne — ein unvollendetes Projekt. In Wolfgang Welsch (Ed.), Wege aus der Moderne (p. 177-192). De Gruyter. https://doi.org/10.1515/9783050071374-015
Heitmeyer, Wilhelm (2010a). Deutsche Zustände. Folge 8. Suhrkamp.
Heitmeyer, Wilhelm (2010b). Deutsche Zustände. Folge 9. Suhrkamp.
Hekma, Gert (2016). Queer in the Netherlands: Pro-Gay and Anti-Sex - Sexual politics at a turning point. In Robert Gillett & Lisa Downing (Ed.), Queer in Europe: Contemporary Case Studies (n. p). Routledge.
Jivraj, Suhraiya & de Jong, Anisa (2011). The Dutch Homo-Emancipation Policy and its Silencing Effects on Queer Muslims. Feminist Legal Studies, 19, 143-158. https://doi.org/10.1007/s10691-011-9182-5
Lajevardi, Nazita & Oskooii, Kassra A. R. (2018). Old-fashioned racism, contemporary islamophobia, and the isolation of Muslim Americans in the age of trump. Journal of Race, Ethnicity and Politics, 3(1), 112-152. https://doi.org/10.1017/rep.2017.37
Lazar, Michelle M. (2017). Homonationalist discourse as a politics of pragmatic resistance in Singapore’s Pink Dot movement: Towards a southern praxis. Journal of Sociolinguistics, 21(3), 420-441. https://doi.org/10.1111/josl.12239
Lee, Po-Han (2016). LGBT rights versus Asian values: de/re-constructing the universality of human rights. The International Journal of Human Rights, 20(7), 978-992. https://doi.org/10.1080/13642987.2016.1192537
López Clavel, Pau (2015). Tres debates sobre la homonormativización de las identidades gay y lesbiana. Asparkía. Investigació Feminista, 26, 137-153.
López Roldán, Pedro (1996). La construcción de tipologías: metodología de análisis. Papers. Revista de Sociologia, 48, 9-29. https://doi.org/10.5565/rev/papers.1811
López-Roldán, Pedro & Fachelli, Sandra (2015). Metodología De La Investigación Social Cuantitativa. Editorial UAB.
Mepschen, Paul (2016). Sexual democracy, cultural alterity and the politics of everyday life in Amsterdam. Patterns of Prejudice, 50(2), 150-167. https://doi.org/10.1080/0031322X.2016.1164426
de Oliveira, Marcela Bruna & Pinheiro Barbosa, Lia (2021). Lesbofobia, Homofobia, Bifobia e Transfobia no contexto escolar de Crateús e Sertão dos Inhamuns. Revista de Ciências Sociais: RCS, 52(3), 25-63. https://doi.org/10.36517/rcs.52.3.d02
Puar, Jasbir K. (2007). Terrorist Assemblages: Homonationalism in queer times. Duke University Press.
Puar, Jasbir K. (2013). Rethinking Homonationalism. International Journal of Middle East Studies, 45(2), 336–339. https://doi.org/10.1017/S002074381300007X
Ramalho, Ana Catarina (2020). Gender and sexualities in the European far-right political discourse. Tesis doctoral sin publicar, Instituto Universitário de Lisboa.
Rodó-Zárate, Maria & Jorba, Marta (2022). Metaphors of intersectionality: Reframing the debate with a new proposal. European Journal of Women’s Studies, 29(1), 23-38. https://doi.org/10.1177/1350506820930734
Rodríguez Maeso, Sílvia (2018). ‘Europe’ and the narrative of the ‘True Racist’: (Un-) thinking anti-discrimination law through race. Oñati Socio-Legal Series, 8(6), 845-873. https://doi.org/10.35295/osls.iisl/0000-0000-0000-0974
Sadurní Balcells, Núria & Pujol Tarrés, Joan (2015). Homonacionalismo en Cataluña: Una visión desde el activismo LGTBI. Universitas Psychologica, 14(5), 1809-1819. https://doi.org/10.11144/Javeriana.upsy14-5.hcva
Schotten, C. Heike (2016). Homonationalism: FROM CRITIQUE TO DIAGNOSIS, OR, WE ARE ALL HOMONATIONAL NOW. International Feminist Journal of Politics, 18(3), 351-370. https://doi.org/10.1080/14616742.2015.1103061
Schwandt, Michael (2010). Kritische Theorie: eine Einführung. Schmetterling Verlag.
Seikkula, Minna (2019). Adapting to post-racialism? Definitions of racism in non-governmental organization advocacy that mainstreams anti-racism. European Journal of Cultural Studies, 22(1), 95-109.
Solana, Mariela (2017). El debate sobre los orígenes de la homosexualidad masculina. Una revisión de la distinción entre esencialismo y construccionismo en historia de la sexualidad. Tópicos, Revista de Filosofía, 54, 395-427. https://doi.org/10.21555/top.v0i54.834
Spierings, Niels (2020). Homonationalism and Voting for the Populist Radical Right: Addressing Unanswered Questions by Zooming in on the Dutch Case. International Journal of Public Opinion Research, 33(1), 171-182. https://doi.org/10.1093/ijpor/edaa005
Takács, Judit & Szalma, Ivett (2013). How To Measure Homophobia in an International Comparison? Družboslovne Razprave, 29(73), 11-42.
Takács, Judit, & Szalma, Ivett (2020). Democracy deficit and homophobic divergence in 21st century Europe. Gender, Place and Culture, 27(4), 459-478. https://doi.org/10.1080/0966369X.2018.1563523
Treat, John Whittier (2015). The rise and fall of homonationalism in Singapore. positions: east asia cultures critique, 23(2), 349-365. https://doi.org/10.1215/10679847-2861026
Turnbull-Dugarte, Stuart J.; Rama, José & Santana, Andrés (2020). The Baskerville’s dog suddenly started barking: voting for VOX in the 2019 Spanish general elections. Political Research Exchange, 2(1), 1-21. https://doi.org/10.1080/2474736x.2020.1781543
Van Klinken, Adriaan (2014). Homosexuality, politics and pentecostal nationalism in Zambia. Studies in World Christianity, 20(3), 259-281. https://doi.org/10.3366/swc.2014.0095
Waites, Matthew (2020). Global Sexualities: Towards a Reconciliation between Decolonial Analysis and Human Rights. In Davy Zowie, Ana Cristina Santos, Chiara Bertone, Ryan Thoreson & Saskia E. Wieringa (Eds.), The SAGE Handbook of Global Sexualities (pp. 33-56). SAGE. https://doi.org/10.4135/9781529714364.n2
Yılmaz-Günay, Koray & Wolter, Salih Alexander (2013). Pink Washing Germany? Der deutsche Homonationalismus und die» jüdische Karte «.In Duygu Gürsel, Zülfukar Çetin, Allmende e. V.(Eds..), Wer MACHT Demokratie – Kritische Beiträge zu Migration und Machtverthältnissen (pp. 60-75). Edition assemblage y kritik_praxis.
Zahed, Ludovic-Mohamed (2019). Homosexuality, Transidentity, and Islam. Amsterdam University Press. https://doi.org/10.2307/j.ctvsrwbw9.15
Zanghellini, Aleardo (2012). Are gay rights Islamophobic? A critique of some uses of the concept of homonationalism in activism and academia. Social & Legal Studies, 21(3), 357-374. https://doi.org/10.1177/0964663911435282
Zick, Andreas; Wolf, Carina; Küpper, Beate; Davidov, Eldad; Schmidt, Peter & Heitmeyer, Wilhelm (2008). The syndrome of group-focused enmity: The interrelation of prejudices tested with multiple cross-sectional and panel data. Journal of Social Issues, 64(2), 363-383. https://doi.org/10.1111/j.1540-4560.2008.00566
Zick, Andreas; Küpper, Beate & Wolf, Hinna (2009). European conditions. Findings of a study on group-focused enmity in Europe. Institute for Interdisciplinary Research on Conflict and Violence, University of Bielefeld. https://www.google.com/url?sa=t&rct=j&q=&esrc=s&source=web&cd=&ved=2ahUKEwivpPOOmuv2AhVOOBoKHcM6B8QQFnoECAUQAQ&url=https%3A%2F%2Fwww.ambitia.eu%2Fwp-content%2Fuploads%2F2019%2F02%2F1%2520Group-focused%2520Enmity%2520in%2520Europe%2520-%2520study.pdf&usg=AOvVaw0kQLbRsLoJySXzDrsJlXaZ

LEON FREUDE
Leon Freude es Investigador en Formación en el Departamento de Sociología (Uni-versitat de Barcelona). Es graduado en Sociología y Máster en Estudios de la Mujer y de Género. Investiga sobre valores homonacionalistas. Ha publicado en las revistas Sexuality & Culture, Current Sociology y Revista Española de Sociología.
lfreude@ub.edu
https://orcid.org/0000-0003-2284-9817
NÚRIA VERGÉS BOSCH
Núria Vergés Bosch es profesora agregada en el Departamento de Sociología de la Universitat de Barcelona. Su investigación se centra en género y tecnología y meto-dologías feministas. Ha publicado en The Lancet, Journal of Gender Studies, Gen-der, Place and Culture, Women's Studies International Forum y Revista Española de Investigaciones Sociológicas.
nuria.verges@ub.edu
https://orcid.org/0000-0001-8010-7809
AGRADECIMIENTOS
Queremos agradecer a las personas que hicieron las revisiones anónimas y mejora-ron con sus comentarios la calidad del artículo. También queremos agradecer a Pe-dro López-Roldán y Sandra Fachelli por una revisión de la primera propuesta del ar-tículo y a Jordi Bonet-Martí por su ayuda después de las revisiones.
FINANCIAMIENTO
La investigación de Leon Freude cuenta con la financiación del Ministerio de Univer-sidades (FPU18/0250).
FORMATO DE CITACIÓN
Freude, Leon & Vergés Bosch, Núria (2022). La articulación del racismo y la homofobia en los valores de la población europea. Quaderns de Psicologia, 24(1), e1739. https://doi.org/10.5565/rev/qpsicologia.1739
HISTORIA EDITORIAL
Recibido: 12-01-2021
1ª revisión: 13-01-2022
Aceptado: 25-02-2022
Publicado: 26-04-2022